为优化人才结构,加强事业单位人才队伍建设,根据《事业单位人事管理条例》(国务院令第625号)、《重庆市事业单位公开招聘人员实施办法》(渝人发〔2006〕44号)和《关于进一步规范事业单位公开招聘工作的通知》(渝人社发〔2011〕326号)等规定,经市人力社保局备案,决定面向2024年应届高校毕业生公开招聘一批事业单位工作人员。现将有关事宜公告如下:
一、招聘原则
坚持公开、平等、竞争、择优原则,按照德才兼备的标准,采取考核为主的方式进行。
二、招聘单位及人数
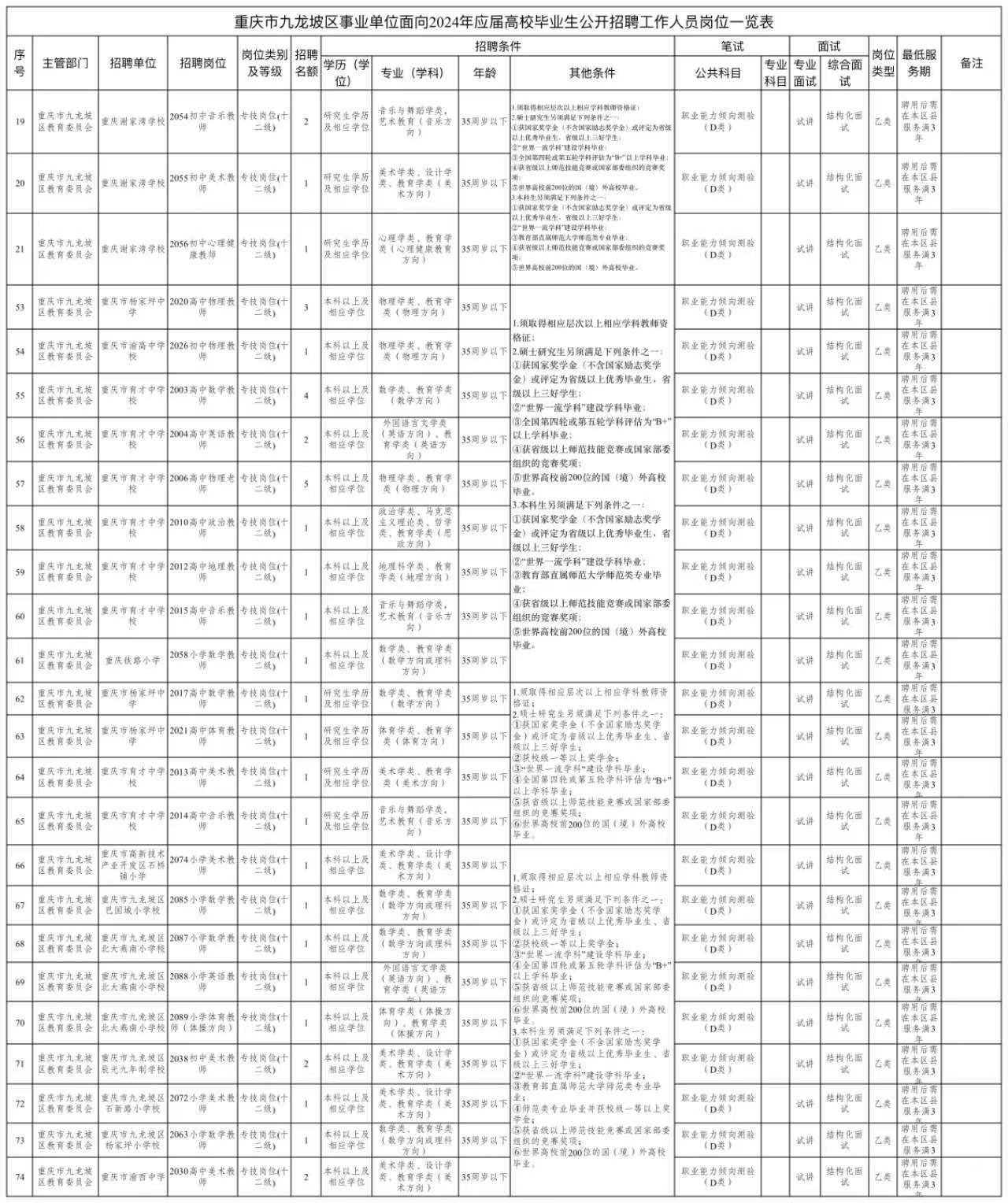
本次面向2024年应届高校毕业生公开招聘事业单位工作人员171名,具体招聘单位及岗位详见附件1。
三、报考条件
(一)基本条件。
1.具有中华人民共和国国籍;
2.遵守中华人民共和国宪法和法律;
3.具有良好的道德品质;
4.适应岗位要求的身体条件;
5.符合岗位所需的其他条件;
6.具备国家规定的岗位所需的必要条件;
7.符合事业单位人事管理回避规定。
因犯罪受过刑事处罚的人员,被开除公职的人员,最高人民法院公布的失信被执行人,国家有关部委联合签署备忘录明确的失信情形人员,因违反法律法规或单位人事纪律等被单位辞退或解聘未满5年的原机关事业单位工作人员,尚未解除党纪、政纪处分或正在接受纪律审查的人员,因违反机关事业单位工作人员招录(聘)纪律而处于禁考期的人员,不得报考。
现役军人,在读的非应届高校毕业生,试用期内的机关事业单位人员(含新提拔领导干部的职务试用期),市内未满机关事业单位招录(聘)公告中或聘用合同中约定的最低服务期限的工作人员,尚未建立人事关系但参加我市机关事业单位招录(聘)已按程序完成考察的拟聘用人员,我市公费培养、定向到乡镇教育(医疗卫生)机构就业,未满服务期限或本公告发布之日前未按规定程序解除培养及就业协议的师范(医学)生,不得报考。
法律法规规定不得聘用为事业单位工作人员的其他人员,不得报考。
(二)年龄计算。
本公告所要求的年龄计算截止时间为2023年10月31日,如“35周岁以下”,指未满36周岁,在1987年11月1日及以后出生,以此类推。其中,属退役军人报考的,年龄放宽3周岁。
(三)毕业(学位)证书及专业。
考生应凭已取得的毕业(学位)证书报考。境内高校毕业的考生,须在资格审查时提交学历(学位)证书;国(境)外高校毕业的考生,须在资格审查时出具教育部中国留学服务中心的学历(学位)认证。2024年应届毕业生应凭即将取得的最高学历(学位)及对应专业报考,其中,境内高校2024年应届毕业生暂未取得招聘条件要求的毕业(学位)证书的,可提供就业推荐表、学生证、各学期成绩单及其他应聘佐证材料,并须在2024年7月31日前取得相应的毕业(学位)证书;境外高校2024年应届毕业生暂未取得招聘条件要求的毕业(学位)证书的,可提供入学证明、学生证、各学期成绩单及相应正规机构翻译资料等佐证材料,且须在2024年7月31日前取得相应的毕业(学位)证书和教育部中国留学服务中心学历(学位)认证。如未在规定时间内取得,不予以聘用。
专业资格审查参照附件的参考目录,以毕业证书(不含辅修专业或辅修学位相关证书)载明的专业名称为准。考生报名时应诚信、准确、规范填报所学专业。所学学科专业不在附件参考目录中,但与岗位所要求的学科专业类同的,可由负责资格审查的单位结合考生所学课程、专业培养目的等进行资格审查。
(四)专业方向。
《岗位一览表》(附件1)中对“专业”有方向要求的,须在现场资格审查时提供由毕业院校依据所学专业学科出具相应方向证明和毕业成绩单,如“教育学类(数学方向)”,考生所学专业应为“数学”方向,持有“教育学”专业(以毕业证名称为准)毕业证的考生,须由毕业院校出具其所学专业学科属于“数学方向”的证明,同时提供毕业成绩单。若毕业证书对专业方向已有明确体现,则不需提供相应证明。
(五)特别说明。
本公告所要求的条件中,所指“以上”“以下”“以前”“以后”均包含本级(数),如35周岁以下,均含35周岁;专技12级以上或以下,均含专技12级,以此类推。
本公告所涉及的时间节点,除明确约定外,均以本公告发布之日计算。
国家奖学金不含国家励志奖学金。奖学金、优秀毕业生、三好学生及竞赛奖项的认定,以在最高学历阶段取得为准。
本公告所指应届高校毕业生,是指国家统一招生的普通高校2024年应届高校毕业生(须经省级招办批准录取,就读时将人事及学籍档案关系转移到就读高校)以及2023年8月1日至2024年7月31日取得国(境)外学位并完成教育部门学历认证的留学回国人员。国家统一招生的2022年、2023年普通高校毕业生,以及2022年1月1日至2023年7月31日取得国(境)外学位并完成教育部门学历认证的留学回国人员,未落实工作单位的,可按应届高校毕业生对待。
本公告所指“未落实工作单位”,是指在报名及资格审查时,考生未随用人单位参加职工养老保险,且其户口、档案、组织关系之一仍保留在原毕业学校,或保留在各级毕业生就业主管部门(毕业生就业指导服务中心)、各级人才交流服务机构和各级公共就业服务机构。
对参加大学生村官、农村教师特岗计划、“三支一扶”计划、志愿服务西部计划等基层服务项目前无工作经历,服务期满且考核合格后2年内参加本次招聘的人员,以及2022年、2023年毕业的大学生退役军人,视为应届高校毕业生,但已被或曾被录(聘)用为机关事业单位工作人员的除外。
本公告要求各类职业(执业)资格条件,以证书原件或发证机关提供的佐证材料为准,除明确规定外,须在现场资格审查时提供,其中2024年应届毕业生须于2024年7月31日前提供岗位要求的职业(执业)资格证书、规范化培训合格证明、教师资格证和普通话等级证,否则不予聘用。
本次招聘各环节时间、地点安排有调整的,将通过“九龙坡人力社保”微信公众号“人社服务—人事人才”专栏公告,请考生及时关注。
四、报名及资格审查
本次公开招聘采取网上报名方式进行,任何单位和个人不得以任何理由拒绝符合报考条件的人员报名应聘并参加考试考核。
(一)网上报名。
考生在2023年11月1日9:00—11月5日9:00期间,登录重庆市人力资源和社会保障局网站(http://rlsbj.cq.gov.cn/),点击首页“我要办”中的“人事考试网上报名”进入重庆市人事考试网上报名系统,选择“区县委托、社会化服务考试入口”栏目,点击“重庆市九龙坡区事业单位面向2024年应届高校毕业生公开招聘工作人员考试报名入口”进行报名。考生根据提示进入“渝快办”统一登录界面,进行网上注册,设置个人密码,填写详细信息。“渝快办”用户名和密码是查询资格审查结果、下载打印准考证等事项的依据,请考生务必牢记。
考生只能选择一个单位中的一个岗位进行报名,报名和考试时使用的身份证必须一致。考生应仔细阅读本公告及附件内容,按照要求和规定格式,诚信、准确填写报考信息,并按网页提示上传电子照片(jpg格式,20kb以下)。
(二)资格初审。
招聘方根据考生网上填报的信息进行资格初审,初审不符合条件的不能进入下一环节。考生应在提交报名信息后及时登录报名系统查询是否通过资格初审,已报名但未通过资格初审的人员,可在11月5日12:00前及时修改完善信息并重新提交,重新进行资格初审。考生应慎重选择报考单位及岗位,资格审查通过后,不得更改报考单位及岗位。初审合格后还须经现场资格审查合格方可进入面试。
(三)网上缴费。
资格初审合格后,考生须在2023年11月6日9:00前进行网上缴费(按市财政、物价部门批准的标准50元/科/人收取),确认参考。网上报名后未在规定时间内缴费确认者,视为自动放弃。确认的具体程序按网络提示进行。考生网上缴费后,要及时登录网上报名系统核实缴费是否成功。网上报名后未缴费成功的,不能参加考试考核。完成缴费的人员应及时在报名网站下载打印并留存《报名信息表》,以备现场资格审查时使用。
(四)未达到开考比例情形的处理。
岗位实际报名人数与拟招聘岗位名额之比须达到2:1,达不到开考比例的,相应递减或取消招聘名额。其中属急需紧缺岗位的,经区事业单位人事综合管理部门报市级事业单位人事综合管理部门备案同意,可进一步降低开考比例。
(五)打印准考证。
考生报名通过并缴费成功的,于2023年11月9日9:00—11月11日9:00期间,登录报名系统打印准考证(使用A4纸打印,保证字迹、照片清晰),并在考试当天持本人准考证和有效身份证原件按时到准考证指定的考点参加考试。因逾期打印准考证而影响参加考试的责任,由考生自负。
各岗位的实际报名人数、是否进行笔试等事宜将在报名结束后3个工作日内在“九龙坡人力社保”微信公众号“人社服务—人事人才”专栏公布。不进行笔试考试和因招聘岗位取消而不能参加招聘考试的考生,退还其报名考务费。
五、考试考核
本次招聘采取面试为主的方式进行。凡资格初审合格人数与招聘岗位名额数之比达到8:1的,须对此岗位考生进行笔试;未达到8:1的,直接进入现场资格审查环节。
(一)笔试。
1.笔试为公共科目笔试,笔试科目为《职业能力倾向测验》(分值150分),采用闭卷笔答方式。笔试内容参照《事业单位公开招聘分类考试公共科目笔试考试大纲》(2022年版)执行,详见《岗位一览表》(附件1)。
2.笔试时间暂定于2023年11月11日(星期六)。具体时间、地点及注意事项以《准考证》为准。
3.笔试后进入面试环节规则:
(1)笔试缺考或零分的,不得进入面试环节。
(2)按照与招聘岗位名额3:1比例,根据公共科目笔试成绩从高到低依次确定面试人选。若最后一名进入面试人选成绩相同,则并列进入。
(3)若实际参加面试人选达不到预定比例的,最低可按2:1比例开展面试;竞争比例达不到2:1的,相应递减或取消招聘名额。其中,属急需紧缺岗位的,经区事业单位人事综合管理部门报市级事业单位人事综合管理部门备案同意,可进一步降低开考比例。
4.笔试成绩等事项公布。
笔试成绩等信息在报名系统自行查询。进入现场资格审查人员名单、现场资格审查时间及地点等事宜在“九龙坡人力社保”微信公众号“人社服务—人事人才”专栏公布,请考生及时关注。
(二)现场资格审查。
进入现场资格审查人员名单的考生须携相关材料到指定地点进行现场资格审查,具体应提供的证明材料详见《现场资格审查所需材料》(附件5)。不按规定时间、地点参加现场资格审查的,视为自动放弃。现场资格审查合格人员进入面试;现场资格审查不合格或经确认主动放弃面试的,其缺额可按报考该岗位考生公共科目笔试成绩从高到低进行一次性递补。若递补人选笔试成绩相同,则并列进入面试。资格审查不合格的,向考生说明原因。
若递补进行后,后续环节竞争比例仍达不到预定比例的,最低可按2:1比例开展面试;竞争比例达不到2:1的,相应递减或取消招聘名额。其中,属急需紧缺岗位的,经区事业单位人事综合管理部门报市级事业单位人事综合管理部门备案同意,可进一步降低开考比例。
(三)面试。
面试由九龙坡区事业单位人事综合管理部门组织实施。面试成绩当场公布并由考生签字确认。面试时间、地点等相关事宜将在“九龙坡人力社保”微信公众号“人社服务—人事人才”专栏公布,请考生及时关注。
1.教育教师岗位(乙类岗位)
教育教师岗位面试项目为专业技能测试(即试讲)和综合面试(即结构化面试):专业技能测试主要考察考生组织教学的能力,分值100分,时间10分钟。综合面试主要考察考生的语言表达、综合分析、逻辑思维、团队意识、职业素养等,分值100分,时间10分钟。
2.其他岗位(甲类岗位)
其他岗位面试项目为综合面试(即结构化面试)。主要考察考生的语言表达、综合分析、逻辑思维、团队意识、职业素养等,分值100分,时间10分钟。
面试组织工作按照《重庆市事业单位公开招聘工作人员面试办法》(渝人社发〔2016〕281号)等执行。未按规定时间到指定地点参加面试的,不再进入本次招聘后续环节。
面试当天,若原确定进入面试的部分人员主动放弃,导致竞争比例达不到2:1的,经招聘方根据考生考试考核成绩等情况研究同意,可放宽开考比例。
凡在进入面试任一环节中属放宽开考比例的面试人员,其任一项面试成绩不得低于70分,方可进入后续环节。
(四)考试考核总成绩计算规则。
1.教育教师岗位(乙类岗位)
组织笔试的岗位:考试考核总成绩=《职业能力倾向测验》成绩×2÷3×50%+专业技能测试成绩×25%+综合面试成绩×25%。
不组织笔试的岗位:考试考核总成绩=专业技能测试成绩×50%+综合面试成绩×50%。
2.其他岗位(甲类岗位)
组织笔试的岗位:考试考核总成绩=《职业能力倾向测验》成绩×2÷3×50%+综合面试成绩×50%。
不组织笔试的岗位:考试考核总成绩=综合面试成绩。
总成绩采取百分制计算,四舍五入后精确到小数点后两位数。
考试考核总成绩及签约人员名单将于面试结束后3个工作日内在“九龙坡人力社保”微信公众号“人社服务—人事人才”专栏公布。
(五)签订就业协议。
根据招聘岗位名额,按报考该岗位考生的考试考核总成绩从高分到低分1:1等额确定签订就业协议人员。若考试考核总成绩相同时,则依次按符合岗位资格条件的专业技能测试成绩、综合面试成绩、《职业能力倾向测验》笔试成绩、学历层次、职业(执业)资格顺序从高到低确定签约人员。如仍相同,则加试结构化面试,以加试成绩高者优先。因考生本人自动放弃签约资格,出现缺额的,则按报考该岗位考生考试考核总成绩从高到低(面试各科成绩不得低于70分)作一次性递补。拟签约人员经签约现场资格核实后,签订《全国普通高等学校毕业生就业协议书》。就业协议书中须明确违约行为以及违约责任。
六、体检和考察
体检由九龙坡区事业单位人事综合管理部门按规定组织实施,在指定的具有资质的区级以上医疗卫生机构进行。未按时到指定地点参加体检者,不再进入本次招聘后续环节。体检标准参照《关于修订〈公务员录用体检通用标准(试行)及〈公务员录用体检操作手册(试行)〉有关内容的通知》(人社部发〔2016〕140号)等规定,结合本行业或岗位实际要求执行,并按规定填写《事业单位工作人员聘用体检表》。除按相关规定应当场或当天复检并确认体检结果的项目外,招聘单位或受检人对体检结论有异议的,可在接到体检结论通知之日起7日内书面提出复检申请,经同意后到指定医院进行一次性复检,体检结论以复检结论为准。
体检合格者,由区事业单位人事综合管理部门会同主管部门对拟聘人员进行全面考察,包括对其政治思想素质、道德品质修养、能力素质、遵纪守法情况、日常学习工作情况以及是否需要回避等,考察结束后应据实作出考察结论。考察名单确定后,应当及时通知考察对象本人。
考察参照《重庆市事业单位公开招聘工作人员考察办法》《公务员录用考察办法(试行)》执行,坚持“凡进必审”“谁审查、谁负责”、考察留痕的原则,严格审查拟聘人员的人事档案、诚信记录、违法犯罪记录,确认拟聘人员提供的报名材料及有关报考资格的各类信息材料是否属实,并注重采取实地考察、延伸考察、官方网站查询等方式进行查证。其中,学历、学位及信用情况应通过中国高等教育学生信息网(chsi.com.cn)、中国执行信息公开网(zxgk.court.gov.cn)、“信用中国”网站(creditchina.gov.cn)等进行查证。考察结论为不合格的,考察小组应向考生说明原因。
对考生报考资格的审查贯穿于公开招聘全过程,凡查实考生条件不符合应聘资格条件的,取消进入后续招聘环节或继续聘用资格。其中,在面试组织实施前查实的,其缺额可按规则进行递补;在面试组织实施后查实的,其缺额不再递补。
若考生体检不合格或在体检中经确认自动放弃资格,其缺额按该岗位考生考试考核总成绩从高到低(面试各科成绩不得低于70分)依次递补一次。体检环节后,因各种原因再出现缺额的不再递补。
七、公示
考试考核、体检、考察等有关事宜,在“九龙坡人力社保”微信公众号“人社服务—人事人才”专栏公布,请考生及时关注。
拟聘人员名单在重庆市人力资源和社会保障局(http://rlsbj.cq.gov.cn/)等网站上公示,公示时间为7个工作日。公示内容包括姓名、性别、出生年月、毕业院校及毕业时间、所学专业及学历(学位)、考试考核总成绩以及岗位招聘条件所要求的工作经历、职称、职业(执业)资格等其他应公示事项。考生未在本公告规定期限内取得报考岗位条件要求的毕业证书、资格证书等证书的,取消公示及聘用资格。
八、聘用及待遇
经公示无异议或异议信息经核实不影响聘用的事业单位拟聘用人员,由招聘单位提出拟聘用意见,填写《重庆市事业单位新进人员备案表》和《重庆市事业单位拟聘用人员名册》等送上级主管部门审核后,报事业单位人事综合管理部门审批。
经审批同意聘用的事业单位人员,招聘单位按照有关规定与聘用人员签订《事业单位聘用合同》,确立人事关系,完善聘用手续,相关待遇按重庆市有关规定执行。
公开招聘的人员按规定实行试用期。试用期满考核合格,予以正式聘用;试用期满考核不合格,依法解除聘用合同。
聘用期间发现因聘用人员或招聘工作相关人员隐瞒相关情况致使人员条件不符合公招岗位条件要求的,取消聘用资格。
本次招聘全部岗位需与聘用人员约定服务期3年。聘用人员未满约定服务期的,不得报考或调动到区外机关事业单位。未满3年服务期提出解除人事关系的,应承担相应违约责任。
九、纪律要求
公开招聘事业单位工作人员,是事业单位公开选拔优秀人才的重要渠道,必须严肃人事工作纪律,确保招聘工作规范进行。各有关单位要严格执行《事业单位公开招聘违纪违规行为处理规定》(人力资源和社会保障部令第35号)、《事业单位人事管理回避规定》(人社部规〔2019〕1号),认真贯彻《关于印发〈重庆市事业单位考核招聘工作人员办法〉等6个公开招聘配套文件的通知》(渝人社发〔2016〕281号)等有关政策规定,自觉接受纪检监察机关和社会各界的监督,若有违纪违规行为,按规定追究有关责任。
公开招聘过程中凡发现考生档案材料或者信息涉嫌造假的,应当立即查核,未核实前,暂停聘用;发现考生提供虚假材料、隐瞒事实真相,或提供的材料、信息不实影响审核结果的,或干扰、影响考察单位客观公正进行考察的,给予考察不合格结论,一律不予聘用。考生提供伪造的身份证件和招聘公告要求的学历(学位)、职(执)业资格等材料的,一经查实,视为品行不端及不诚信行为,由区事业单位人事综合管理部门报市事业单位人事综合管理部门备案并记入个人诚信档案,从本公告发布之日起5年内限制招聘为我市事业单位工作人员。考生涉及其他违规违纪行为的,按照《事业单位公开招聘违纪违规行为处理规定》(人力资源和社会保障部令第35号)等规定执行。
十、其他
(一)本公告由区人力社保局和相关主管部门负责解释。
(二)考试考务咨询电话:023-61968919(区人力社保局),023-68780244(区教委),023-68782642(区卫生健康委)。
重庆市事业单位公开招聘问题和情况反映信箱:2522912065@qq.com(该邮箱不接收简历)
附:
1.重庆市九龙坡区事业单位面向2024年应届高校毕业生公开招聘工作人员岗位一览表
2.研究生教育学科专业目录(2022年)
3.普通高等学校本科专业目录(2022年)
4.重庆市考试录用公务员专业参考目录(2015年下半年修订)
5.资格审查所需材料

原文网址:https://rlsbj.cq.gov.cn/zwxx_182/sydw/202310/t20231025_12472443_wap.html